Slides of the related chapter in the book Think and Compute: a Primer for Digital Humanists
He was a mathematician
First person to introduce in Europe the Hindu-Arabic number system (i.e. 0, 1, 2, 3, 4, 5, 6, 7, 8, 9)
Publication Liber Abaci (Book of Calculation) in 1202: how to use such numeral system for addressing situations related to commerce, and for solving generic mathematical problems
Fibonacci developed an infinite sequence of numbers, named after him, that described ideally the number of male-female pairs of rabbits at a given month
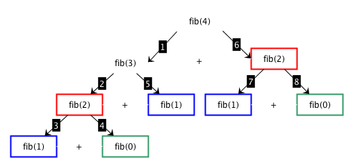
fib(0) = 0 [base case 1]
fib(1) = 1 [base case 2]
fib(n) = fib(n-1) + fib(n-2) [recursive step]








def fib_dc(n):
if n <= 0:
return 0
elif n == 1:
return 1
else:
return fib_dc(n-1) + fib_dc(n-2)
Dynamic programming algorithm is based on six steps
[base case: solution exists] return the solution calculated previously, otherwise
[base case: address directly] address directly if it is an easy-to-solve problem, otherwise
[divide] split the input material into two or more balanced parts, each depicting a sub-problem of the original one
[conquer] run the same algorithm recursively for every balanced parts obtained in the previous step
[combine] reconstruct the final solution of the problem by means of the partial solutions
[memorize] store the solution to the problem for reusing it






Non-inclusion in dictionary:
<key> not in <dictionary>
Comparison that returns True if <key> is not included as key in any pair of <dictionary>
def fib_dp(n, d):
if n not in d:
if n <= 0:
d[n] = 0
elif n == 1:
d[n] = 1
else:
d[n] = fib_dp(n-1, d) + fib_dp(n-2, d)
return d.get(n)